Navigation
Detail
Paul und die Terme
Urheber:
Jens Tiburski, CC0
Bildnummer:
P10967
Auflösung:
640x250
Format:
PNG
Quelle:
https://www.schulportal-thueringen.de/pixiothek/detail?tspi=P10967
Kurzbeschreibung:
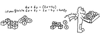
Das Bild gehört zur Serie "Paul". Es zeigt Paul beim Umformen von Termen. Das Bild ist unter CC0 lizenziert und kann somit frei verwendet werden.
Verwandte Bilder (Auswahl)
Lehrbuch Mathematik
(550x550)
Paul und die Terme
(844x250)
Symbolbild: Zahl & Operation
(270x242)
Symbolbild: Rechnen, Beschreiben
(640x535)
Symbolbild: Größen
(305x281)
Symbolbild: Mathematik
(310x310)
Symbolbild: Zahl & Operation
(623x643)
Mathematik
(883x850)
Mathematik
(847x712)
M_Zahlen 10
(180x168)
Verwandte Medien (Auswahl)
Es wurden aktuell keine verwandten Medien gefunden.